[비건뉴스=김민영 기자] 비건·채식 중심의 식단으로의 전환이 인류의 건강과 기후에 긍정적인 영향을 미칠 뿐 아니라, 전 세계 농업 일자리 구조에도 큰 변화를 가져올 수 있다는 연구 결과가 나왔다.
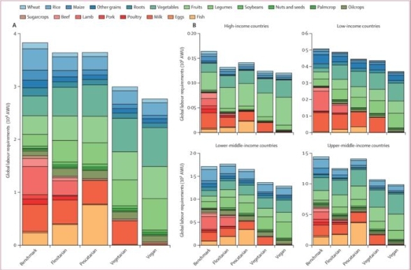
영국 옥스퍼드대 환경변화연구소(ECI)가 발표한 이번 연구는 179개국의 농업 고용 데이터를 분석해 식단 변화가 농업 노동력에 미치는 영향을 살폈다. 연구팀은 플렉시테리언(유연한 채식), 페스코(어류 포함 채식), 베지테리언, 비건 식단 등이 농업 종사자 수에 어떤 변화를 일으킬지를 시뮬레이션했다.
그 결과, 육류 소비가 줄어드는 채식 중심 식단이 확산될 경우, 전 세계 농업 노동 수요는 2030년까지 5~28% 감소할 것으로 예측됐다. 이는 약 1800만~1억600만 개의 정규직 일자리가 줄어드는 규모다. 감소의 주요 원인은 가축 사육 및 사료 생산에 대한 수요 축소다.
반면, 과일·채소·콩류 등 식물성 식품 생산 확대에 따라 원예 분야에서는 1800만~5600만 개의 새로운 일자리가 창출될 것으로 예상됐다. 전반적으로는 전 세계 농업 노동비용이 연간 2900억~9950억 달러(구매력 기준 약 0.2~0.6%의 GDP)에 해당하는 금액만큼 절감될 것으로 분석됐다.
연구를 이끈 마르코 스프링만 옥스퍼드대 연구원은 “식단 변화는 건강과 환경뿐 아니라 생계에도 큰 영향을 미친다”며 “육류 중심 식단에서 벗어나면 축산업 인력 수요는 감소하지만, 동시에 원예 및 식품서비스 부문 수요가 증가한다”고 밝혔다.
그는 또 “이러한 전환이 공정하게 이루어지려면 재교육, 재배치, 원예 생산 투자 등 정책적 지원이 필요하다”며 “식단 변화는 단순한 개인의 선택이 아니라 사회 전반의 구조적 변화로 접근해야 한다”고 덧붙였다.
공동 연구진에는 옥스퍼드대 마이클 오버스타이너 환경변화연구소장, 식품경제학자 요르고스 비티스 박사, 찰스 갓프레이 옥스퍼드 마틴스쿨 소장 등이 참여했다.
이번 연구는 전 세계 20개 주요 식품군의 생산 과정과 노동 요구량을 통합 분석해, 식단 변화가 국가·지역·글로벌 수준의 농업 고용에 어떤 영향을 미치는지를 정량적으로 제시한 최초의 포괄적 평가로 평가받는다.












